AI 攻克了理論物理中的開放性問題!
近日,谷歌團隊開發了一個基於 Gemini Deep Think 模型的混合神經符號系統,成功推導出宇宙弦發射引力輻射功率譜的 6 種全新精確解法。
該研究的重要意義在於,AI 不僅加速了科學發現,更重要的是,該系統推導出人類研究者尚未觸及的新型閉式結果。

圖丨相關論文(來源:arXiv)
宇宙弦被認爲是引力波背景輻射的重要來源之一,它產生於因宇宙早期相變導致的真空對稱破缺。
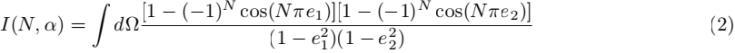
這個問題的關鍵在一個超級難算的積分,它是計算宇宙弦在振盪時輻射出的引力波功率譜,具體來說是一個在球面上的積分 I(N,α)。由於分母在特定點會出現奇點(變爲無窮大),因此該積分常會引起數值計算不穩定的問題。

(來源:arXiv)
此前,數學家們的求解方法有限,例如找到它在特定條件下的近似解,但長期以來尚未能找到一種統一、準確的解析表達式。
在這項研究中,該系統結合了 Gemini Deep Think 模型、系統化的樹搜索(TS,Tree Search)框架以及自動化數值反饋機制,提供了一種新的方案。研究人員將“找出這個積分的解析解”作爲目標,同時提供了一個“標準”:能夠任意調用、高精度的數值計算程序。
該系統的工作過程是:通過不斷提出解題思路,將系統推導的中間表達式轉化爲 Python 代碼,再用研究人員提供的數值計算程序標準作爲依據,以確認表達式的準確性。
按照這種方法,該系統進行了大量自主探索。需要了解的是,這個方案並不是像聊天機器人那樣的一問一答的閉環,而是通過設置負向提示,強迫系統探索完全不同的路徑:快速驗證結果後,正確則繼續深入探索,錯了就馬上換方向。
這樣,該系統在完成 600 個不同的解題路徑後,自動將那些因代數錯誤或數值發散導致的近 80% 失敗數據過濾。實驗結果顯示,該系統最終獲得 6 種可完全走通、相對獨立的全新解法。
新解法包括三大類型。第一類是,基於單項式展開(Monomial Basis Approaches),包括生成函數法(Generating Function)、高斯積分提升法(Gaussian Integral Lifting)以及混合座標變換法(Hybrid Coordinate Transformation);

(來源:arXiv)
第二類是,基於譜分解(Spectral Basis Approaches)的伽遼金矩陣法和沃爾泰拉遞推法;

(來源:arXiv)
第三類是,利用格根鮑爾方法(Gegenbauer Method)構造的精確解析解。

(來源:arXiv)
當然,研究團隊也特別提到,這種方法並非 AI 系統的全自動化探索,而是人機的分工協作,即 AI 系統的重點任務是廣域搜索以及試錯,研究人員則在關鍵節點指出方向,例如人工精煉達到最簡形式等。
在研究過程中,該系統識別並糾正了早期沃爾泰拉遞推法中的一個漏洞,然後通過建立兩種方法的等價性,把無窮級數裂項相消求和轉爲有限表達式。

圖丨方法比較:N=20 時的絕對誤差與速度(來源:arXiv)
從計算性能層面來看,不同類型的解法結果存在明顯的差異。具體而言,基於冪級數的前三種方法在 N 超過 15 的情況,容易因災難性抵消而導致數值不穩定;而譜分解(伽遼金法、沃爾泰拉遞推法)和格根鮑爾方法則保持穩健。
實測數據顯示,相較於單項式方法,譜分解方法在速度上高出數個數量級,其中伽遼金矩陣法的速度比理論上的精確解還快,這背後的原因正是特殊矩陣結構的快速求解。當 N 達到 20 時,相關單項式方法完全失效,而譜分解方法的絕對誤差仍然能夠保持在機器精度量級。
研究團隊認爲,在這些解法中格根鮑爾方法最優雅,原因在於其正交權函數 (1-t²) 恰好抵消了被積函數 f_N(t) 分母中的 (1-t²)。通過這種方法推導出的係數公式,能用於廣義餘弦積分函數用有限閉式來表示。

圖丨格根鮑爾方法解析解的驗證(來源:arXiv)
但這個 AI 系統的價值並沒有止步於此。在獲得精確解後,研究團隊又進行了另一種嘗試:當用該系統嘗試參數 N 無窮大的情況,積分行爲是否會有所變化?
結果顯示,在這種情況下,該系統的第三類解法,即格根鮑爾方法提供了一個漸近公式。
讓研究人員感到意外的是,該系統在處理漸近公式中的一個無窮級數時,竟然想到了費曼參數化技巧,這是量子場論中進行類似積分處理時的常用方法之一,而 AI 系統是在分析時聯想到了這種方法。
這帶來的好處是,通過跨領域聯想能夠將複雜的離散求和問題轉變成連續的空間積分,並呈現出一個極爲簡潔的公式。經過驗證,該公式不僅與數值計算結果一致,而且可更直觀地呈現功率譜隨角度變化的規律。

(來源:arXiv)
這項研究的突破,已不侷限於 AI 解決了某個物理難題本身,而是向領域呈現了一種新的研究範式。在整個研究探索的過程中,AI 所發揮的關鍵作用不再只是可加速計算的工具,而是在更多維度展現出能力:它可以理解複雜的數學問題,對相關問題提供不同角度的解題思路,然後通過編寫代碼對思路進行驗證。
更重要的是,它能跳出現有思路,從物理問題中提煉數學結構,再將這個問題與量子場論建立聯繫,進而實現了跨領域的思維躍遷。或許在這種協作模式下,AI 能夠幫助研究者發現那些尚未被注意到的數學結構。
參考資料:
https://arxiv.org/pdf/2603.04735
排版:劉雅坤




